クエン酸ナトリウム(クエンさんナトリウム、英: sodium citrate)は、クエン酸のナトリウム塩である。クエン酸は三価のカルボン酸であるため、クエン酸ナトリウムにも一ナトリウム塩、二ナトリウム塩、三ナトリウム塩の3種がある。
クエン酸一ナトリウム
クエン酸一ナトリウム(クエン酸モノナトリウム)は、示性式がNaH₂(C₃H₅O(COO)₃)の塩。
クエン酸二ナトリウム
クエン酸二ナトリウム(クエン酸ジナトリウム)は、示性式が Na2H(C3H5O(COO)3) の塩。酸化防止剤として食品に添加される。pH調整剤、キレート剤(金属イオン封鎖剤)としても用いられる。
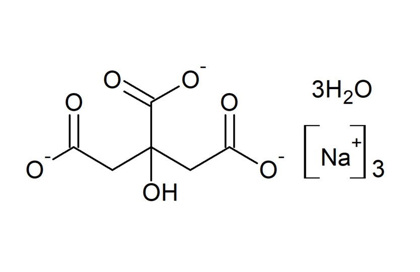
クエン酸三ナトリウム
クエン酸三ナトリウム(クエン酸トリナトリウム)は、示性式が Na3(C3H5O(COO)3) の塩。
クエン酸と炭酸水素ナトリウムの中和反応で合成される。
式量は258。心地よい塩味と香味を示す。酸味料やpH調整剤や調味料や香料または保存料として食品に添加されることがある。またプロセスチーズやその加工品などに限るとクエン酸三ナトリウムを乳化剤として添加することがある。なおクエン酸もナトリウム塩も元々食品に含まれているもの、つまり食品添加物が登場する以前から食品に含まれていたものなので、クエン酸三ナトリウムを食品に添加しても比較的安全だとされている。また食品以外では、抗凝固薬として採取した血液に添加される。
関連項目
- ベネジクト液




